Revista de Investigación Educativa 17
julio-diciembre, 2013
ISSN 1870-5308
Instituto de Investigaciones en Educación
Universidad Veracruzana
Xalapa, Ver., México
Revista de Investigación Educativa 17
julio-diciembre, 2013
ISSN 1870-5308
Instituto de Investigaciones en Educación
Universidad Veracruzana
Xalapa, Ver., México
Correlación entre trayectoria académica y el examen nacional de egreso de la licenciatura
Mtro. Arturo Castillo Ramírez
Coordinador de Acreditaciones de la Facultad de Ingeniería
Universidad Autónoma de San Luis Potosí, México
acastill@uaslp.mx
Dr. Juan Manuel Izar Landeta
Coordinador del Posgrado en Planeación Estratégica e Innovación
Facultad de Ingeniería, Universidad Autónoma de San Luis Potosí, México
jmizar@uaslp.mx
Dra. Dora Erika Espericueta González
Profesor Investigador Tiempo Completo
Facultad de Ingeniería, Área Mecánica y Eléctrica, Universidad Autónoma de San Luis Potosí, México
despericueta@uaslp.mx
Recibido: 20 de junio de 2012 | Aceptado: 14 de agosto de 2012
1. Introducción
El debate sobre el futuro de la educación superior ha estado presente en los últimos años en todo el mundo. Se percibe la necesidad de revisar y transformar el carácter de los sistemas educativos para enfrentar los requerimientos de un mundo cada vez más globalizado; se advierte sobre la necesidad de realizar reformas educativas que superen la resistencia al cambio sustentada en inercias y tradiciones. Se ha generado y analizado una amplísima información a diferentes niveles, lo que ha permitido identificar con mayor precisión sus problemas, abriendo sus reflexiones al ámbito de la sociedad, rompiendo con la visión parcial y limitada del acontecer escolar y académico. Información y reflexiones como las generadas en la Conferencia Mundial sobre Educación Superior organizada por la Organización de las Naciones Unidas para la Educación, la Ciencia y la Cultura en 2009, donde confluyeron los análisis regionales a nivel internacional (UNESCO, 2009, p. 2), destacando la importancia de la educación superior como elemento indispensable para erradicar la pobreza, fomentar el desarrollo sustentable y generar sociedades del conocimiento integradoras y diversas. A nivel regional es necesaria la integración de nuevos modelos de formación, aprendizaje e innovación (IESALC-UNESCO, 2008, p. 24). En México existen abundantes opiniones respecto a los retos actuales a los que debe enfrentarse en particular el sistema de educación superior; la Secretaría de Educación Pública del gobierno federal (SEP, 2007), a través de su plan sectorial 2007-2012 ha resumido los retos en tres grandes desafíos: cobertura con equidad, integración del sistema educativo y calidad.
A nivel nacional la educación superior ha adoptado la planeación integral como instrumento para responder a las demandas de la sociedad. Algunos de los avances en materia de planeación, evaluación y coordinación de la educación superior que pueden identificarse en los años recientes son: la progresiva incorporación de la metodología de la planeación estratégica en la gestión interna de las Instituciones de Educación Superior (IES); el trabajo de los Comités Interinstitucionales para la Evaluación de la Educación Superior (CIEES) creados en 1991; los procesos de acreditación de los programas académicos y dependencias a cargo de asociaciones no gubernamentales especializadas, como el Consejo de Acreditación para la Enseñanza de la Ingeniería, A.C. (CACEI), creado en 1994 para el caso de las ingenierías; la existencia de los exámenes nacionales de ingreso a la educación media superior y de ingreso y egreso de la educación superior que aplica el Centro Nacional de Evaluación para la Educación Superior (CENEVAL), creado en 1994; la reactivación de las Comisiones Estatales para la Planeación de la Educación Superior (COEPES) en las entidades federativas, y los acuerdos interinstitucionales para la orientación del ingreso a la educación media superior y superior a nivel local. En el año 2000 se creó el Consejo para la Acreditación de la Educación Superior (COPAES), asociación civil conformada por representantes del gobierno federal, de las instituciones de educación superior y de los colegios de profesionales en diversas áreas del conocimiento, cuya finalidad consiste en el reconocimiento de las agencias acreditadoras de los programas de educación superior, entre otros tantos organismos. En consecuencia, el sistema de educación superior realiza un esfuerzo extraordinario a través de los distintos procesos de planeación, para proporcionar una formación de mejor calidad que deberá combinar, en todos los programas, elementos de índole humanista, científica y técnica.
2. Contexto y justificación
Usualmente se considera que el concepto de calidad en educación debe ser asociado casi única y exclusivamente con el de evaluación académica, toda vez que la calidad requiere de un juicio valorativo que viene dado precisamente por la evaluación (Garduño, 1999). No obstante que la evaluación por sí sola no mejora la calidad de un sistema, los resultados obtenidos a través de instrumentos de evaluación constituyen un referente útil en la implementación de estrategias que contribuyan a mantener y elevar la calidad académica de la preparación de estudiantes de licenciatura. La evaluación del aprendizaje, si bien es un elemento inherente del proceso de enseñanza que puede ser considerado esencial a todo sistema educativo, tradicionalmente se ha aplicado en México de manera individual. En las últimas décadas se ha observado un interés creciente por la evaluación del aprendizaje a gran escala, lo que ha permitido un mejor entendimiento y caracterización del logro educativo de los estudiantes. Desde hace más de 30 años la SEP, a través de la Dirección General de Evaluación, ha desarrollado proyectos específicos de evaluación del aprendizaje, teniendo como objetivos fundamentales el establecimiento de sistemas de medición del logro educativo que puedan proporcionar periódicamente información válida para determinar su avance y permitan correlacionar ésta con otras variables, así como la prueba de modelos matemáticos para la equiparación de resultados en el tiempo, independientemente de las modificaciones curriculares. Teniendo como objetivo la búsqueda de la calidad en la educación superior, organismos como los ya mencionados CIEES, CACEI y CENEVAL, utilizan como principales instrumentos diversos procesos de evaluación diagnóstica.
En nuestro país, en el estudio realizado en la Universidad Veracruzana por Chain, Cruz, Martínez y Jácome (2003), en el año 2000, se analizaron las relaciones entre los resultados obtenidos por 6,937 estudiantes en el Examen Nacional de Ingreso a la Licenciatura (EXANI II) y su trayectoria escolar, planteando un modelo que permite calcular la probabilidad de éxito escolar con relativa precisión; los autores señalan que “son escasos los estudios que exploren la capacidad de los exámenes de ingreso a la educación superior para determinar la probabilidad de éxito de quienes ingresan” ( ). Tejada y Arias (2003), en otro trabajo con alumnos de primer ingreso a la licenciatura en Psicología, comentan que la tutoría académica de los estudiantes es un factor que afecta su rendimiento escolar, pues facilita la adaptación del alumno a su ambiente escolar y el éxito en su implementación se ve afectado por el significado que los profesores y alumnos le atribuyan, ya que de esto depende el nivel de compromiso e involucramiento que tienen; señalan que mediante redes semánticas, la ayuda, la orientación, el apoyo, el responsable, el maestro, la responsabilidad, la asesoría y la confianza resultaron ser definidoras centrales de la atribución asignada a la tutoría. En la carrera de Contaduría Pública del campus Nogales de la Universidad Veracruzana, Arias y Flores (2005), en una investigación con 160 alumnos del último semestre, encontraron que ni el sexo ni el promedio de calificaciones obtenido por los alumnos se relacionó con su satisfacción; no obstante, hubo diferencias significativas de las calificaciones respecto al sexo, obteniendo mejores notas las mujeres, con lo cual concluyen los autores que el sexo puede ser un factor que cuente en el desempeño académico.
Asimismo, en el extranjero se han realizado estudios encaminados a analizar el efecto de diversas variables de tipo contextual en el desempeño académico, como por ejemplo, el efecto que ejercen el nivel socioeconómico y los factores familiares en el rendimiento académico; el contexto del régimen de la escuela, efecto que ha sido reconocido en la mayor parte de la literatura sobre eficacia escolar; el efecto de otro tipo de variables tales como la edad del estudiante, el género, el profesor y el turno de estudios ha sido analizado también por diversos autores, obteniendo resultados relevantes que permiten sostener o rechazar el grado de correlación existente con el logro educativo (Martínez & Pérez, 2008). En España se ha encontrado que los principales factores que afectan el desempeño académico son el esfuerzo efectivo realizado por el estudiante, así como sus habilidades y conocimientos previos a su ingreso a la universidad (Jano & Ortiz, 2005). En la Universidad de Oviedo se determinó que la satisfacción del estudiante varía directamente con el éxito que obtienen en aquellas asignaturas propias de la carrera, no sucediendo así en las materias optativas, en las que se observa una relación inversa (Fernández, Fernández, Álvarez & Martínez, 2007). Por su parte, Montero, Villalobos y Valverde (2007) han realizado un estudio para predecir las calificaciones finales de los cursos de carrera con 848 estudiantes de la Universidad de Costa Rica, utilizando como variable independiente un conjunto de factores en las dimensiones institucionales, sociodemográficas, psicosociales y pedagógicas; han encontrado que el mejor predictor ha sido la calificación obtenida en el proceso de admisión, la cual combina las notas obtenidas en su educación secundaria y una prueba de habilidades de razonamiento; también resultaron explicativas otras dos variables: el puntaje obtenido en la prueba de inteligencia emocional y la metodología empleada por los docentes.
La Facultad de Ingeniería de la Universidad Autónoma de San Luis Potosí (UASLP)
A través de un ejercicio participativo con la contribución de las opiniones de directivos, personal docente, administrativo y de intendencia, alumnos, egresados y empleadores, la Facultad generó su Plan Institucional de Desarrollo (PIDE) 2010-2023 (Facultad de Ingeniería de la Universidad Autónoma de San Luis Potosí [FI-UASLP], 2010), instrumento que orienta las acciones y estrategias de crecimiento y mejora continua, para la consecución de su Misión. Como antecedente al PIDE 2010-2023 se tienen el PIDE 1997-2008 y la formulación de los Proyectos de Gestión Institucional (PROGES) como parte de los Programas Integrales de Fortalecimiento Institucional (PIFI) en los años 2001 al 2009, promovidos por la Subsecretaría de Educación Superior de la Secretaría de Educación Pública (SES-SEP), por lo que el cumplimiento de sus indicadores de calidad se considera un punto de partida indispensable. Todos estos planes han permitido a la Facultad una transformación cualitativa para el mejoramiento constante de la calidad académica e igualmente, la planeación y la evaluación se constituyen en herramientas indispensables de proyección hacia el futuro. El plan de desarrollo considera de manera prioritaria, dentro de sus seis objetivos estratégicos, el desarrollo integral del estudiante basado en un modelo educativo innovador, el mantenimiento de la pertinencia y calidad de sus programas educativos, el fortalecimiento del programa de mejora continua del personal académico, la vinculación con los sectores de la sociedad, el fortalecimiento de las actividades de investigación y desarrollo tecnológico, así como la implementación de políticas y estrategias que permitan mantener una normativa actualizada, flexible y equitativa. Todas estas acciones permitirán consolidar el sistema de planeación estratégica para el desarrollo de sus actividades sustantivas (planeación, seguimiento, evaluación, programación, presupuestación y transparencia) y el aseguramiento en la certificación de sus procesos académico-administrativos.
El programa de Ingeniero Mecánico Administrador (IMA) nació en 1978 para atender las necesidades detectadas en los diferentes sectores productivos de la región de profesionales de la Ingeniería Mecánica que tuvieran una sólida preparación en Administración en el campo industrial, ya que a través del tiempo se había detectado en los egresados del programa de Ingeniero Mecánico Electricista, que era en aquel entonces la única carrera existente, una tendencia a acceder a puestos administrativos y gerenciales de alto nivel. Actualmente el Área de Ingeniería Mecánica Eléctrica está conformada por los programas de Ingeniero Mecánico Electricista, Ingeniero Mecánico Administrador, Ingeniero Mecánico, Ingeniero en Electricidad y Automatización e Ingeniero Mecatrónico, de reciente creación en 2007. Los egresados de IMA, desde su primera generación, han sido aceptados en el campo laboral y han demostrado a través de su exitoso desempeño y desarrollo, la pertinencia del perfil y lo exitoso del programa. El plan curricular es sujeto a un proceso de revisión y actualización constante e integral, lo que permite responder eficazmente a las necesidades de la demanda laboral actual y futura. En los últimos años, el programa de IMA ha mantenido una población promedio de 350 alumnos, lo que lo ubica como un programa de tamaño medio, de acuerdo con los parámetros del Consejo de Acreditación para la Enseñanza de la Ingeniería, A.C. (CACEI, 2009), del cual ha obtenido tres acreditaciones: 2002-2007, 2007-2012 y la tercera para el periodo 2012-2017. Alineado con los objetivos establecidos por la UASLP y por la Facultad de Ingeniería en su respectivo Plan Institucional de Desarrollo, se genera el Plan de Desarrollo de Ingeniero Mecánico Administrador (PDIMA) 2010-2023, (FI-UASLP, 2010), atendiendo además, a la visión y la misión del propio programa. En dicho documento se plasman como objetivos estratégicos, entre otros, el desarrollo integral del estudiante basado en un modelo educativo innovador y el mantenimiento de la pertinencia y calidad del programa, para lo cual se proponen algunas estrategias como las siguientes: fortalecer la tutoría y asesoría académica para los alumnos del programa; incorporar herramientas de innovación educativa y tecnológica en el proceso enseñanza-aprendizaje; actualizar permanentemente los contenidos de las materias y el plan de estudios; mantener la acreditación ante CACEI, lo que implica el cumplimiento de una serie de requisitos esenciales que garanticen un quehacer académico de alta calidad; y establecer políticas definidas de investigación, innovación y desarrollo tecnológico. Por medio del ejercicio de la planeación, el programa de IMA revisa su misión, reorganiza sus recursos, evalúa sus resultados y se autoregula con la mayor honestidad y ética.
Dentro de la planeación, la evaluación es un medio fundamental para conocer la relevancia social de los objetivos planteados, el grado de avance con respecto a los mismos, así como la eficacia, impacto y eficiencia de las acciones realizadas. La información resultante es, entonces, la base para establecer los lineamientos, las políticas y las estrategias que orientan la evolución de este nivel educativo. Para evaluar la educación superior en México se realizan tres procesos simultáneos y paralelos: el proceso de evaluación interinstitucional (externa y por pares) a cargo de los CIEES; el proceso de evaluación del sistema de educación superior en su conjunto y de los subsistemas de educación universitaria y educación tecnológica, a cargo de un grupo mixto de la SEP y la Asociación Nacional de Universidades e Instituciones de Educación Superior (ANUIES), la Subsecretaría de Educación Superior e Investigación Científica (SESIC) y la Subsecretaría de Educación e Investigación Tecnológicas (SEIT), respectivamente, y el proceso de evaluación institucional, a cargo de las propias casas de estudio (autoevaluación) (Castillo, Izar & Hernández, 2012). La finalidad de estos procesos de evaluación es el mejoramiento de la calidad, incluidos los resultados del quehacer académico de las instituciones. La autoevaluación a nivel institucional provee información confiable que da testimonio del grado de cumplimiento de los objetivos; por ello, se justifica como un medio para que el programa IMA responda a su quehacer y permite compatibilizar la búsqueda de una mejor calidad educativa. Por otro lado, son elementos de la calidad de un programa sus insumos, el proceso, los resultados y su impacto, por lo que es adecuado evaluar estos elementos y su interacción.
En este tenor, el presente trabajo pretende ampliar el conocimiento sobre el efecto del historial académico de los estudiantes del programa de IMA en su desempeño futuro al aplicar el Examen General de Egreso de la Licenciatura (EGEL) del CENEVAL, apoyado en un modelo desarrollado con análisis estadístico que permitió predecir el grado de éxito esperado durante la consecución de dichas pruebas. El grado de correlación obtenido mediante este modelo fue razonablemente alto, permitiendo alcanzar niveles de pronóstico positivo en la población analizada. De manera particular, es de reconocer las limitaciones del presente estudio asociadas al tamaño y configuración de la muestra que se utilizó para los egresados del programa de IMA; sin embargo, se considera que la información obtenida permitirá identificar fortalezas y debilidades, que a su vez facilitarán la definición de estrategias que conduzcan a la mejora continua del programa.
3. Metodología del modelo propuesto
De manera similar al concepto de validez predictiva de un instrumento de evaluación, en el cual se busca correlacionar los resultados de dicha prueba con una cierta actitud futura, es posible también predecir, en orden inverso, el resultado esperado del probable desempeño de egresados de programas de ingeniería sometidos a evaluaciones nacionales, a partir del análisis de su trayectoria académica durante la licenciatura, mediante el empleo de modelos matemáticos que tomen en cuenta las variables más significativas de dicho proceso.
Para la elaboración del modelo predictivo se consideraron los resultados de los sustentantes del Examen General de Egreso de la Licenciatura en Ingeniería Mecánica (EGEL-IMECA) que diseña, elabora y aplica el CENEVAL, instrumento de cobertura nacional que evalúa los conocimientos y aptitudes que son resultado de la formación académica de los recién egresados de los programas de Ingeniería Mecánica. Es de destacar que los egresados del programa IMA presentan de manera voluntaria, hasta el 2011, el examen de Ingeniero Mecánico Administrador para evaluar sus conocimientos, ya que al momento no existe uno, lo que representa cierta desventaja por las diferencias que existen en los respectivos perfiles de egreso y el énfasis del examen en ciertas áreas de conocimiento que no se contemplan en el plan de estudios de IMA.
Población de estudio
La población de análisis la constituye un total de 113 jóvenes egresados del programa de IMA de la UASLP que han sustentado el examen en los años 2009, 2010 y 2011; esta muestra incluye alumnos de las cohortes que ingresaron entre 1998 y 2006. El grupo representa una población totalmente aleatoria, toda vez que la aplicación del examen en la institución es voluntaria y no existe intervención alguna para su selección, además de la heterogeneidad de su desempeño académico a lo largo de la licenciatura, tomando como referencia factores como el promedio general, la cantidad de materias reprobadas, el rendimiento académico y otras. Se decidió utilizar esta población porque corresponde a los egresados que aplicaron el examen nueva generación que el CENEVAL implementó en 2009, a pesar que el programa IMA aplica el EGEL desde 1999. Por lo anterior se concluye que dicha población constituye una muestra adecuada para que las determinaciones que se infieran de su análisis sean confiables.
El EGEL permite comparar los resultados de una persona contra un patrón o estándar de desempeño preestablecido, el cual define el conjunto de conocimientos y habilidades que el Consejo Técnico de cada examen ha considerado indispensable que posea el egresado al iniciarse en el ejercicio de la profesión respectiva (CENEVAL, 2010). Dicho estándar permite ubicar a los sustentantes en tres categorías: no satisfactorio (700-999 puntos); satisfactorio (1000-1149 puntos); y sobresaliente (1150-1300 puntos). El examen EGEL-IMECA consta de cuatro áreas de estudio; a quienes obtienen por lo menos tres áreas con desempeño satisfactorio o sobresaliente se les otorga un Testimonio de Desempeño Satisfactorio (TDS), mientras que los que obtienen de las cuatro áreas al menos una con desempeño sobresaliente y las restantes con desempeño satisfactorio se hacen acreedores a un Testimonio de Desempeño Sobresaliente (TDSS).
De la totalidad de la muestra en este trabajo, 60 individuos que constituyen el 53.09% alcanzaron el TDS, mientras que 28 de ellos, que representan el 24.77%, lograron el TDSS, y 25 egresados, el 22.12%, resultaron sin testimonio. En su informe anual de resultados, CENEVAL señala que la media nacional de los EGEL-IMECA fue de 47% de TDS, 12.7% de TDSS y 40.3% sin testimonio (ST) para ingeniería mecánica (CENEVAL, 2011). En el mismo periodo, el programa IMA logró 51.7% en TDS, 25% en TDSS y 23.3% en ST, lo que le permitió al programa ocupar el tercer lugar a nivel nacional en cuanto a resultados, la misma posición obtenida en 2009 (CENEVAL, 2010). Por el número de sustentantes, el programa de IMA se ubica entre los que más han participado a nivel nacional, aun cuando el examen, como ya se mencionó, hasta 2011 no era obligatorio para sus egresados.
Variables independientes
Se usaron siete parámetros relacionados con la trayectoria académica que fueron considerados para la determinación del modelo de pronóstico, así como un análisis de su correlación con los resultados obtenidos en el examen general.
1) Lugar obtenido en el examen de admisión a la licenciatura
Este parámetro oscila entre 1 y 700 con una media de 221. El análisis muestra que los sustentantes del EGEL que obtuvieron TDSS lograron un lugar promedio en el examen de admisión de 159.96; los que se hicieron acreedores a un TDS, un lugar promedio de 191.23, mientras que aquellos que no alcanzaron los 1000 puntos obtuvieron en promedio el lugar número 366.28.
2) Promedio general de calificaciones obtenido durante los estudios de licenciatura
Los sustentantes que obtuvieron TDSS lograron un promedio general en su conjunto durante la licenciatura de 74.22; quienes obtuvieron TDS tuvieron un promedio general en conjunto de 73.45, y los que no lograron alcanzar los 1000 puntos, obtuvieron en conjunto un promedio general de 68.12.
3) Promedio aprobatorio de calificaciones obtenido en la licenciatura
El análisis de correlación respectiva muestra que los alumnos que obtuvieron TDSS en el EGEL lograron un promedio aprobatorio en conjunto en la licenciatura de 77.93; quienes obtuvieron TDS alcanzaron un promedio de 78.02, y aquellos que no alcanzaron el índice de 1000 puntos, obtuvieron un promedio aprobatorio en la licenciatura de 75.32 en su conjunto.
4) Número de semestres en que el sustentante cursó el programa de licenciatura
Se observa tanto a alumnos que egresaron con 9 semestres cursados, hasta un máximo de 15 semestres en el mismo grupo TDSS. Por otro lado, no existen grandes diferencias en los resultados alcanzados en los tres grupos, ya que los sustentantes que obtuvieron TDSS cursaron su carrera en 11.04 semestres en promedio, mientras que aquellos que obtuvieron desempeño satisfactorio lo hicieron en un promedio de 10.98 semestres, y los que no alcanzaron los 1000 puntos tardaron en promedio 12.32 semestres en concluir sus estudios de licenciatura.
5) Rendimiento académico durante el curso de la licenciatura
El rango de variación de este parámetro para los sustentantes de la población bajo estudio oscila entre 33.7% y 96.3%, el cual, como se observa, es bastante amplio. Así, el grupo de alumnos que obtuvieron el TDSS logró durante su estancia en la Facultad un rendimiento promedio de 70.0%, mientras que aquellos que tan sólo obtuvieron un desempeño satisfactorio lograron en su conjunto un rendimiento promedio de 68.7%, y los que no alcanzaron el índice de 1000 puntos en el EGEL observaron un rendimiento combinado de 58.0%.
6) Número de materias reprobadas por el sustentante durante su estancia en la Facultad
Este parámetro oscila entre 0 y 20 materias reprobadas. El grupo de sustentantes que lograron el TDSS, reprobó en promedio 4.07 materias durante la licenciatura, mientras que los que alcanzaron la puntuación correspondiente al TDS tuvieron en promedio 3.85 materias reprobadas; los que obtuvieron menos de 1000 puntos, reprobaron en su conjunto un promedio de 7.72 materias.
7) Número de exámenes de regularización presentados por el sustentante
Este parámetro puede alcanzar valores hasta de 10 exámenes de regularización presentados en el transcurso de la licenciatura. El análisis por percentiles indica que el 74.33% de los sustentantes no presentaron ningún examen de regularización en el transcurso de su carrera y tan solo el 11.5% presentó tres o más exámenes de este tipo.
Metodología
En primer término se intentó hacer análisis de regresión lineal, tomando como variable dependiente al desempeño del alumno en el examen EGEL y como variables independientes las siete variables antes comentadas. Los resultados fueron pobres, ya que el ajuste medido por el coeficiente de determinación fue muy bajo.
Posteriormente se realizó un análisis estadístico de regresión logística con las mismas variables, tanto la dependiente como las independientes. En una primera prueba con esta técnica, se trató de hacer regresión logística multinomial, con la variable dependiente con tres categorías: rendimiento no satisfactorio, rendimiento satisfactorio y rendimiento sobresaliente en el examen EGEL, sólo que los resultados obtenidos no fueron significativos desde el punto de vista estadístico, debido al escaso número de datos de cada categoría.
En tales circunstancias, se optó por dejar la variable dependiente con sólo dos categorías: la primera categoría como rendimiento satisfactorio, agrupando a los alumnos con rendimiento satisfactorio y sobresaliente, y la segunda categoría como rendimiento no satisfactorio, con lo cual los resultados fueron consistentes y significativos.
4. Resultados y discusión
El análisis se hizo con 113 datos de alumnos de la carrera que han presentado el examen EGEL, de los cuales 88 han tenido desempeño satisfactorio o sobresaliente y los restantes 25 han obtenido desempeño no satisfactorio.
En un primer intento con las siete variables independientes, resultaron significativas tres: el lugar obtenido en la admisión, el promedio general y el número de exámenes de regularización presentados. Se procedió a hacer un nuevo análisis con sólo estas tres variables, resultando significativas las dos primeras, por lo cual en un tercer intento se alcanzó el mejor ajuste teniendo como variables independientes el lugar en la admisión y el promedio general. La chi cuadrada de la prueba ómnibus ha resultado 19.829 con un valor pi de 0,000, que hace rechazar la hipótesis nula que establece que los coeficientes en el modelo son cero, lo cual es un indicativo que el ajuste mejora al introducir las variables independientes al análisis estadístico.
La R cuadrada de Cox y Snell es 0.161 y la de Nagelkerke es 0.247, que representan una medida de la varianza que explica el modelo, la cual es modesta.
La chi cuadrada de Hosmer y Lemeshow es 11.31 con un valor pi de 0.185, que hace aceptar la hipótesis nula que establece que los valores observados y los pronosticados con la ecuación lograda en el ajuste son iguales, lo que señala que tal ecuación es confiable para describir el modelo. La tabla de clasificación se muestra en la Tabla 1.
Tabla 1. Tabla de clasificación de las 113 observaciones
|
Valores |
Valores pronosticados |
||
|
Desempeño en EGEL |
Porcentaje correcto |
||
|
No satisfactorio |
Satisfactorio |
||
|
No satisfactorio |
7 |
18 |
28.0 |
| Satisfactorio | 2 |
86 |
97.7 |
| Porcentaje Total | 82.3 |
||
Fuente: Elaboración propia.
El porcentaje global de aciertos es del 82%, el cual resulta aceptable, con la salvedad que para el caso de aquellos alumnos que no han tenido un desempeño satisfactorio en el examen EGEL, el pronóstico tiende más a fallar, ya que para este grupo el porcentaje predicho correctamente ha sido sólo del 28%, mientras que para aquellos que han alcanzado el desempeño satisfactorio el porcentaje de aciertos en el pronóstico ha sido mucho mayor, casi del 98%.
La Tabla 2 presenta para cada variable su beta, el error estándar, el estadístico de Wald y la significación estadística medida por el valor de pi.
Tabla 2. Valores de los estadísticos de las variables.
|
Variable |
Beta |
Error estándar |
Coeficiente de Wald |
Valor de pi |
|
Lugar en admisión |
-0.003 |
0.001 |
8.564 |
0.003 |
|
Promedio general |
0.093 |
0.036 |
6.549 |
0.010 |
|
Constante |
-4.539 |
2.577 |
3.101 |
0.078 |
Fuente: Elaboración propia.
Con esto la ecuación del ajuste es:

Donde z viene dada por la siguiente expresión:

Siendo Pg el promedio general y La el lugar obtenido en el proceso de admisión.
La probabilidad del evento quedará en un valor entre cero y uno, y como el punto de corte es 0.5, si la probabilidad queda entre cero y 0.5 significa que el pronóstico es de un desempeño no satisfactorio en el examen EGEL; en contraparte, si dicha probabilidad resulta entre 0.5 y 1, significa que el desempeño es satisfactorio. Esto se ilustra para el caso del primer alumno de los 113 datos con que se ha efectuado la prueba.
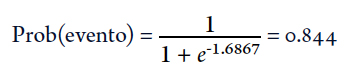
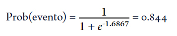
Dicho alumno obtuvo un promedio general de 71.62 y ocupó el lugar 145 en la admisión, por tanto, al aplicar la ecuación 2 resulta:

Con lo cual la probabilidad del evento es, conforme a la ecuación 1:

Que al quedar entre 0.5 y 1 señala un desempeño satisfactorio, tal y como ha resultado con este alumno.
Una observación importante en esta técnica de regresión logística son los signos de las betas obtenidas para las variables. Un signo positivo indica que la variable al aumentar hará tender la probabilidad hacia un valor entre 0.5 y 1, y un signo negativo señala lo contrario. En este caso, el tener un mayor promedio impactará hacia un desempeño satisfactorio y el ocupar un lugar mayor en la admisión lo hace en la dirección opuesta, lo cual parece lógico, ya que un buen alumno ocupará un buen lugar en la admisión (valor bajo) y tendrá un promedio mayor, lo que impacta a la variable dependiente, que es el desempeño en el EGEL hacia un desempeño satisfactorio.
Otro aspecto interesante es el valor de beta, que al ser mayor señala que la variable en cuestión tiene mayor impacto en la variable dependiente; tal es el caso del promedio general que impacta en mayor medida al desempeño del alumno en el examen EGEL que el lugar obtenido en la admisión, ya que su beta es 31 veces mayor. Sin embargo, al ser las dos variables significativas, se han dejado en el análisis estadístico.
Conclusiones
El análisis de los parámetros de la historia académica de los sustentantes y su correlación con el desempeño alcanzado por los mismos en el EGEL, muestra que aquellos más fuertemente asociados con una probabilidad de éxito corresponden a los de mayores valores en el promedio general alcanzado en la licenciatura, y el segundo parámetro es el lugar ocupado en el examen de admisión. Este resultado concuerda con lo señalado por el CENEVAL (2011) en su reporte anual, en su análisis de cruce de variables de contexto y los resultados del EGEL (p. 40) en donde señala que a mayor promedio general la probabilidad de obtener un TDS o TDSS es mayor.
El grado de confiabilidad obtenido con este modelo para el programa de IMA, es aproximadamente 11% menor al obtenido con el modelo para Ingeniería Civil (IC) en el estudio realizado por Martínez y Pérez (2008), que arrojó un grado de confiabilidad cercano al 93% y en el que se observan como principales diferencias las siguientes: la aplicación del modelo a una población mayor, los resultados del EGEL obtenidos con la primera edición de dicho examen (no la nueva generación) y que el Ingeniero Mecánico Administrador aplica un examen para Ingeniero Mecánico. Esta última observación es relevante porque el examen EGEL-IMECA está conformado por cuatro áreas principales, de las cuales la correspondiente a la aplicación de sistemas analógicos y digitales contiene temas que un IMA no incluye en su plan de estudios y por tanto desconoce.
A partir de los resultados mostrados, de su análisis y discusión, es posible establecer que el modelo de pronóstico utilizado permite predecir con un razonable grado de precisión el éxito o fracaso de sustentantes de exámenes nacionales de egreso de la licenciatura en ingeniería, con base en su trayectoria académica.
Mediante un adecuado manejo de las variables que incluya una ponderación debidamente calibrada con el análisis estadístico de poblaciones representativas, es posible establecer modelos sencillos que permitan pronosticar de manera confiable el desempeño a futuro de cohortes de estudiantes de ingeniería, con la posibilidad incluso de anticipar con un alto grado de precisión su propio desempeño profesional, materializándose así la posibilidad de ir un paso adelante en la instrumentación de acciones que contribuyan a mantener y elevar la calidad académica de su preparación. Para un trabajo posterior podrían analizarse los resultados del EGEL por área y ver su grado de correlación con el desempeño de los estudiantes en las materias relacionadas con tales áreas.
Lista de referencias
Arias, F., & Flores, M. A. (enero-abril, 2005). La satisfacción de los estudiantes con su carrera y su relación con el promedio y el sexo. El caso de la carrera de Contaduría de la Universidad Veracruzana en Nogales, Veracruz. Hitos de Ciencias Económico Administrativas, 29(1), 9-14.
Castillo, A., Izar, J. M., & Hernández, V. (enero-junio, 2012). Modelo de autoevaluación para la acreditación del programa de Ingeniero Mecánico Administrador de la Facultad de Ingeniería de la Universidad Autónoma de San Luis Potosí. CPU-e, Revista de Investigación Educativa, 14, 106-125. Recuperado de http://www.uv.mx/cpue/num14/opinion/castillo_izar_hernandez_autoevaluacion_acreditacion.html
Centro Nacional de Evaluación para la Educación Superior. (2009). Cambios en el reporte institucional de resultados de los EGEL. Recuperado de http://archivos.ceneval.edu.mx/archivos_portal/1218/NoticiasEGEL-04.pdf.pdf
Centro Nacional de Evaluación para la Educación Superior. (2010). Informe Institucional EGEL Ingeniería Mecánica 2009. Recuperado de http://www.ceneval.edu.mx/ceneval-web/content.do?page=4254
Centro Nacional de Evaluación para la Educación Superior. (2011). Informe Anual de resultados EGEL-IMECA 2010. Recuperado de http://www.ceneval.edu.mx/ceneval-web/content.do?page=5256
Chain, R., Cruz, N., Martínez M., & Jácome, N. (enero-marzo, 2003). Examen de selección y trayectoria escolar. Revista de la Educación Superior, 125. Recuperado de http://www.anuies.mx/servicios/p_anuies/index2.php?clave=publicaciones/revsup/res125/art2.htm
Consejo de Acreditación de la Enseñanza de la Ingeniería. (2009). Manual del CACEI. México: Autor.
Facultad de Ingeniería de la Universidad Autónoma de San Luis Potosí. (2010). Plan Institucional de Desarrollo (PIDE) 2010-2023. México: Autor.
Facultad de Ingeniería de la Universidad Autónoma de San Luis Potosí. (2010). Plan de Desarrollo 2010-2023 de Ingeniero Mecánico Administrador. México: Autor. Recuperado de http://ingenieria.uaslp.mx/web2010/PIDE%202010-2023/WPide.html
Fernández, E., Fernández, S., Álvarez, A., & Martínez, P. (2007). Éxito Académico y Satisfacción de los Estudiantes con la Enseñanza Universitaria. RELIEVE, 13(2), 203-214.
Garduño, L. R. (septiembre-diciembre, 1999). Hacia un modelo de evaluación de la calidad de instituciones de educación superior. Revista Iberoamericana de Educación, 21, 93-103. Recuperado de http://www.rieoei.org/rie21f.htm
Instituto Internacional para la Educación Superior en América Latina y el Caribe-Organización de las Naciones Unidas para la Educación Superior de América Latina y el Caribe. (2008). Tendencias de la Educación Superior en América Latina y el Caribe. Editado por Ana Lúcia Gazzola y Axel Didriksson. Bogotá, Colombia. Recuperado de http://www.iesalc.unesco.org.ve/index.php?option=com_content&view=article&id=2&Itemid=408&lang=es
Jano, D., & Ortiz, S. (2005). Determinación de los factores que afectan al rendimiento académico en la educación superior. En XII Jornadas de la Asociación de Economía de la Educación (pp. 1-12). México: Asociación de Economía de la Educación.
Martínez, J. H., & Pérez, J. A. (2008). Efecto de la Trayectoria Académica en el Desempeño de Estudiantes de Ingeniería en Evaluaciones Nacionales. Formación Universitaria, 1(1), 3-12.
Montero, E., Villalobos, J., & Valverde, A. (2007). Factores Institucionales, Pedagógicos, Psicosociales y Sociodemográficos asociados al Rendimiento Académico en la Universidad de Costa Rica: Un Estudio Multinivel. RELIEVE, 13(2), 215-234.
Organización de las Naciones Unidas para la Educación, la Ciencia y la Cultura. (2009). La nueva dinámica de la educación superior y la investigación para el cambio social y el desarrollo. Conferencia Mundial sobre la Educación Superior. París: Autor. Recuperado de http://www.unesco.org/education/WCHE2009/comunicado_es.pdf
Secretaría de Educación Pública. (2007). Programa Sectorial de Educación 2007-2012. México: Comisión Nacional de Libros de Texto Gratuitos.
Tejada, J. M., & Arias, F. (2003). El Significado de la Tutoría Académica en Estudiantes de Primer Ingreso a la Licenciatura. Revista de la Educación Superior, XXXII(3), 127.